USPS Delivers is a thought leadership and resource platform designed to help businesses, from small startups to enterprise-level organizations, leverage the power of USPS shipping and direct mail solutions to grow and scale. While rich in insights, tools, and industry-specific research, the site’s current structure suffers from fragmented content, unclear categorization, and a passive homepage experience.

 

client

USPS Delivers
Government

agency

MRM/McCann Worldgroup

role

Data-Driven, SEO, UX Strategy, Design Direction

 

Epic Need: To transform USPSDelivers.com into a strategic, enterprise-grade platform that helps small, medium, and large business decision-makers access valuable shipping, logistics, and marketing insights through a more intentional content taxonomy, refreshed design, and scalable experience.

Problem Statement: The current USPS Delivers site suffers from ambiguous navigation, a passively structured homepage, and fragmented educational tools. This disjointed experience leads to user drop-offs, difficulty finding high-value content, and a missed opportunity for USPS to position itself as a strategic partner in logistics and marketing.

Consumer Tension: Users need quick access to actionable insights, tools, and proof points. However, they encounter broad categories, overlapping content, and no clear pathway to solving their unique business challenges. As USPS’s target audience evolves, the site must shift from surface-level aggregation to strategic guidance.

What the MVP tries to solve: 

  • Redesign the homepage, restructure the navigation and architecture to actively present USPS as a business growth partner

  • Replace passive, generic content categories with action-oriented, outcome-driven navigation

  • Restructure content taxonomy to reflect USPS’s shift toward medium and large enterprise segments

  • Create better discoverability through SEO-optimized tags, categories, and metadata

  • Connect fragmented tools, assets, and insights into a cohesive ecosystem

 

Client Ask

What We Heard

“The large images on the homepage are not ideal for browsing/discovery.”

“Organization of articles, etc., is not working hard enough; it is hard to find things.”

“Can we turn these articles into videos?”

“I want our great content to be discoverable.”

Deep Dive and Exploring Ambiguity

Data Findings
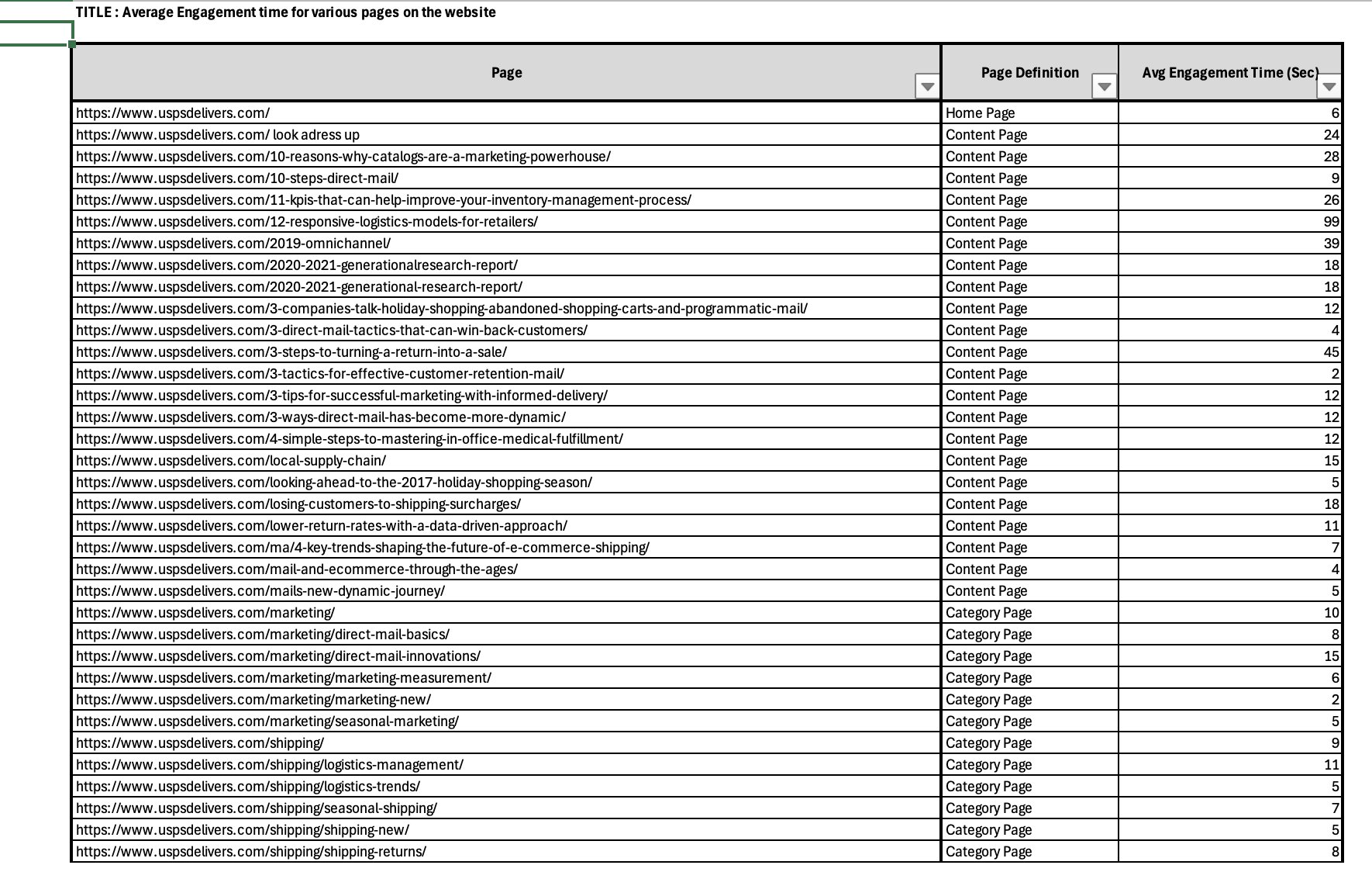
Users are navigating past broad categories in favor of direct paths, highlighting the need for a homepage structure that better aligns with their browsing behaviour and content discovery patterns.

  • Users are comfortable utilizing the navigation/featured links and prefer specific, direct paths. Click data indicates that subcategory links (e.g., Shipping & Returns, Direct Mail Innovations) perform better than broader category links (e.g., See All or Marketing_

  • The homepage's bounce rate is currently 32%, which is within the acceptable range for B2B sites. However, optimization can enhance user engagement and reduce this rate further.

Understanding Data

Search Keywords

Taxonomy and Content Restructing

 

UX/UI Recommendations

Data into Design

Final Renderings

Results After One Year of Launch

What I accomplished:

 

1.

Aligned Design Strategy with Business Expansion Goals

Led early discovery and strategy workshops with cross-functional teams to define the role of the on-shore digital experience within Four Seasons' broader business vision—successfully mapping user needs to high-end travel expectations while supporting luxury positioning and incremental revenue opportunities.

 

2.

Defined Scalable UX Framework for Global Implementation

Architected a modular design system accommodating regional customization, exclusive experiences, and future growth. This future-proof structure allows local teams to manage offerings while maintaining brand consistency and usability across global markets.

 

3.

Elevate research into Actionable Design

Synthesized competitive analysis, stakeholder interviews, and user behavior trends into a focused experience strategy. These insights informed content prioritization and journey flows that resonate with ultra-luxury travelers, creating early alignment across product, marketing, and operations.